中小学教学小百科 数学科·智能篇
数学记忆技巧及检测
湖北省荆襄磷化学工业公司王集子弟中学李自刚 夏心宝 何先付 宋昌达
一、口诀记忆
理解是记忆的基础,记忆是理解的必然。
数学学习离不开记忆,假如一味教条地去记忆,如同嚼蜡,印象浮浅。若是在理解的基础上辅以口诀,就会激起学生强烈的兴趣,使大脑皮层的一定区域保持良好的兴奋状态,情绪大振,就会记得快,记得牢。并能引起共鸣,达到提高学习质量、课堂效率与减轻学生学习负担之目的。口诀越是通俗、简明、新颖、别致、巧妙、切合实际、富有联想和情趣,越便于记忆, 解题时能唤起记忆,应用自如,由“只在此山中,云深不知处”之态变成“明月松间照,清泉石上流”之感。
笔者在多年的数学教学中,深有感触,现略举几例,仅供读者参考。 1.幂的乘、除、乘方、开方运算性质(也可以真数与对数)的口诀为: “(同底数幂)成家(乘.加.),厨俭(除.减.);迷(幂)失方寸(方.乘.);
开.除.;底子仍不变。”加点的前一个字为幂的运算,后一个字为指数运算,
方指乘方,开指开方。
利用谐.音.达到记忆的效果。 2.查平方、立方表的方法口诀为:“内查外调,步步为营,同志(指)
反贪。”表内直接查,表外通过移位调到表内,底数步步移,结果均反移, 且每次同指数数位移。
又如一元一次不等式组的解集口为:“大哥大、小弟拿、中间叫、无回话。”
再如相遇问题口诀为:“你来我往途相遇,是因齐心把路挤。” 联.系.当今精神文明建设、现代通讯、生活实际等。
- 易把三角形的“四心”记混,口诀为:“中重、高垂、垂直平分外, 分内。”前三个都是边上的何种线段,后一个是内角平分线,每个最后一字即为三角形的某“心”。
又如去(添)括号口诀为:“去(添)正,项不变;去(添)负,项都变。”变指变符号。
取其重要的字.词.或.句.首.编口诀,言简意赅,便能准确记忆。
- 判断是什么数或式时,口诀为:“数看结果,式看形式。”如(
是整数,是无理式。
2) 2
又如完全平方公式记忆为:“首平方,尾平方,积的二倍中间放。(a
±b)2=a2±2ab+b2.
利用其本来定.式.总结出口诀。
- 判断同类项及合并同类项时,口诀为:“二同一无关、一相加二不变。”利用数.字.提.示.能达到准确判断和计算的目的
6.查三角函数表时,口诀为:“正左上同,余右下反。”正弦(切)A
所在左列上行,查多或少,就减或加修正值。
利用对比编成口诀,清晰明快,方法掌握迅速。
7.比较在理数的大小,可编口诀:“比较数大小,数轴显真招。正数比零大,负数比零小,两负绝对值,值大数反小。也可互相减,与零来比高。”
利用韵.脚.编口诀,琅琅上口。
以上只列举了利用谐音、联系、重要字词或字首、本来定式、数字提示、对比、韵脚等方法编口诀,不仅只有这几种方法,请读者自己去领会和探索, 但一定要建筑在对学习材料理解的基础上。
二、掷子游戏检测、记忆
心理学指出:记忆时若做到眼看、耳听、脑思、口诵、手动,把各种感觉器官都调动起来,就能提高记忆的效果。高兴、快乐、喜悦对学习起促进作用。
笔者在教学活动中,针对学生记不住,特别是中差生兴趣不高,动力不足,一味苦学,缺乏激情,不能体验喜悦、惊讶、迷恋的满足感;家长反映无法辅导和检查子女的学习等,运用了掷于记忆游戏,收效颇佳。
使枯燥的记忆及测量变为有趣的游戏活动,使中差生乐于记忆并留变往返,在游戏中眼耳脑口手并用,全身心地投入到学习活动中,在轻松愉悦的氛围里加深了记忆,给他们成功的机会,增强了转变的信心和勇气,一定程度上激活差生的求知欲,尝试到学习带来的喜悦,认识到学习是件赏心悦事, 从而提高了学习效率。若后面再配上答案又可作为家长检查子女学习的一种工具。
规则简单易行,在多人游戏中,因掷子的机遇有别,可能回答同一问题, 便可加深记忆,若不能回答,又可得到旁人回答的启迪而知新,每人回答量不多,但又都记忆到。
规则:1.利用六色正方体(或六数字)掷子,可供二人或二人以上使用。2.按一定顺序排列六色,行营处也涂有颜色。
-
先把自己的棋子放入起点处。
-
掷到什么颜色,就回答前面同色的问题,答对进到前一行营继续掷;
不能答或答错退到原来行营。
-
若与前一个行营色同,就到此行营,他人行走。
-
到最后一行营若掷色前未有,就回头重新开始,回答此色问题。
-
按到领奖台的先后排列胜负。
三、竞赛检测记忆
测量是教学的重要环节,是提供反馈信息主要方法,它能使教师有效地补救和调节教学,使教学处于动态平衡和有效控制中。
笔者从中央电视台及其他台的各种知识竞赛中受到启迪;针对学生都有积极向上,好强好胜,喜欢竞争的心理特点,采用竞赛法测量记忆,一试至今爱不释手。满足了他们竞争的需求,增强了他们的集体荣誉感,调动了他们的积极性,从而达到了加强记忆与测量的目的。
工具有录音机、一盒柔和的音乐磁带、记时器或钟表一个、小摇铃一只
(时间到就摇铃)、传递幸运物几个。
选手以抽签的形式每组产生一至二名,代表本组参赛,可以面向全体避免只选尖子学生。
事先准备一章或一单元一册需记忆的知识点制成问答卡片(或改编), 限定答题时间,标明试题分数,分为必答题、风险题、抢答题、其他学生幸运题四类,题量可根据竞答时间的长短设置。答题时不拘书本原话,可用自
己的语言,也可举例说明。
每轮选手答题后,教师按下放音键,学生传递幸运物,教师不注视传递, 随时按下暂停键,请获得幸运物的学生答题,答错收回幸运物。选手不能答或答错,也可改为即时幸运题。
竞赛完毕,教师给予评比总结,宣布下次竞赛时间及内容,使学生有明确的目标。
浅谈小数教学中学生思维能力的培养江苏省东台市教师进修学校 梁正坤
小数教学过程,基本上是“特殊——一般——特殊”的过程。即引导学生从大量的个别属性中,寻找它们的共同规律,得出一般性的结论;再引导学生运用得出的结论去解决一个个具体问题。前者是知识的形成过程,后者知识的运用过程。这两个过程能否顺利实现,取决于学生思维能力的高低。在小学教学中如何培养学生的思维能力呢?针对目前的教学情况,我认为应着重抓好以下四个方面:
一、直观演示“算理”,促进学生逻辑思维能力的发展
在小数教学中,充分运用直观教具,借助充分的感性材料,可以让学生的感知的基础上,建立起清晰的表象,为抽象、概括打好基础。同时也应注意不让学生的思维停留在具体直观上,应及时抽象,以促进学生逻辑思维的发展。
例如,两位数减一位数的退位减法,通过演示小棒说明个位上的数不够减,从被减数十位上退一当十,和个位上的数相加后再减的道理。为了帮助学生理解,教学时要注意边演示教具,边启发学生思考,边板书。也可以让学生自己动手操作,结合操作过程列式计算,并口述计算过程。使学生从形象直观的思维,发展为抽象的逻辑思维。
二、语言表述“算理”,培养学生思维的条理性和逻辑性
学生的思维发展与语言有着紧密的联系。一般地说,学生思维水平是在掌握语言和经验的过程中实现的。为此,在小数教学中,要训练学生用准确、简练的数学语言来表述思维过程,培养学生说话有条理、有根据,从而促进学生思维的条理性、逻辑性。
如教学 22.5÷15 时,可以引导学生:先用 22 除以 15,商 1 余 7;7 除以 15 不够商 1,把它化成 70 个十分之一,再把被除数的 5 移下来,一共是
75 个十分之一,除以 15 商是 5 个十分之一,即 0.5。怎样在商上表示 0.5
呢?只要在商 1 的右下角点上小数点再写上 5 就行了。
让学生讲述“算理”时,教师要面向全体学生,不仅让优秀学生讲,更要让中差等生讲,以使全体学生的思维有条理,有逻辑。
三、加强口算训练,提高学生思维的敏捷性
学生在进行口算练习时,需要注意力十分集中,反应灵活,能一面记住数据,一面选择算法,在头脑中紧张地思维运算。所以,口算训练能促进学生的注意力集中,记忆力发展,而且能锻炼思维的敏捷性。
在口算中培养锻炼学生思维的敏捷性,需在口算教学中做好以下两点:
(一)加强基本功训练,熟记常用数据。在四则混合运算中,如果学生能熟记一些常用的数据,有助于学生的口算能力达到“正确、迅速、灵活、合理”的要求。在小学高年级,应要求学生熟记以下数据:
1 1 1 1 1
.一些能化成有限小数的特殊分数值,如 2 、 4 、 5 、 8 、
1 1 1 3 5 5 7 2 3 4
16 、 20 、 25 、 8 、 8 、 8 、 8 、 5 、、 5 、 5 等。
2.1 至 20 以内数的平方,1 至 10 以内数的立方以及 1π至 20π的积。
3.11 至 19 的 3 至 19 倍数的积。
如果能熟记以上一些数据,那么对一些数字较大的计算题也可以口算了。如 625×256,就可以这样思考:
原式=625×(16×16)
=0.0625×16×16×10000
= 1 ×16×16×10000
16
=160000.
(二)启发学生动脑筋、找规律,形成技能技巧。
1 1 5 + 3 8
例如: 3 + 5 = ( 3× 5 ) = 15 ,
1 − 1 = (
7 − 4
)
= 3 .
4 7 4× 7 28
通过比较,学生可以找到规律,即分子是 1 的异分母加减法中,分母互质时,得数的分母就是原来两分母的积,分子就是原来两分母的和或差。
四、进行灵活、合理的解题训练,发展学生思维的独创性、灵活性
数学中,学生思维的独创性、灵活性主要表现在解题时能独立思考,认真分析,一些法则、性质、定律能运用自如,举一反三。
例如,如图,已知大圆的半径为
R 厘米,小圆的半径为 r 厘米,求两圆阴影部分面积之差。
分析:要求两圆阴影部分面积之差,必先求出阳影部分面积。而要求两圆阴影部分面积,必先求两圆重叠部分面积。但从已知条件看,无法求出两圆重叠部分的面积。于是,学生思维受阻。但我们如果提示用“差不变的性质”(就是减数和被减数同时增加或减少相同的数,差仍然不变)来灵活地解此题,学生的思维就活跃了。
解:设两圆重叠部分的面积为 S,那么: S 差=(πR2-S)-(πr2-S)
=πR2-πr2(平方厘米)
当然,在小数教学中,我们还可以通过一题多解,多种练习形式,进行扩散思维训练等方式来培养学生思维的独创性和灵活性。
浅议直觉思维的培养山东省泰安一中 卢学谦
内容提要
本文主要围绕三个方面对直觉思维的培养进行了初步的探索和尝试。
(-)提供丰富的背景材料,恰当地设置教学情境,促使学生做整体思考。
(二)引导学生寻找和发现事物的内在联系,是激发直觉思维的重要途径。
(三)教学中要安排一定的直觉阶段,给学生留下直觉思维的空间,这是发展学生直觉思维能力的必要措施。
数学直觉思维是人脑对数学对象及其结构规律的敏锐想象和迅速判断。它有如下一些特点:直接性、创造性、跳跃性、多向性、综合性、触发性、坚信感和或必然性。数学直觉思维是一种思路约简了的思维形式,是直觉想象和直觉判断的统一,属于数学创造性思维的范畴。
在数学发展史上,许多数学家都十分重视直觉思维的作用。例如:笛卡儿创立解析几何、牛顿发明微积分都受益于数学直觉思维。“逻辑用于论证, 直觉用于发明”,彭加勒的这一名言对于数学创造活动中直觉思维的作用, 论述得十分精辟。
下面是笔者对培养学生的直觉思维,所作的一些探索和尝试,供教与学时参考。
第一,提供丰富的背景材料,恰当地设置教学情境,促使学生做整体思考。数学直觉思维的重要特征之一,就是思维形式的整体性。对问题做局部的考察是必要的,但必须有整体考察的环节。人们常常遇到这种情况:拘泥于一部分的研究往往不得要领,而反回头来做整体考察则豁然开朗。因此, 着眼于从整体上揭示出事物的本质与内在联系,往往可以激发直觉思维,从而导致思维的创新。
例 1:
假定 x1,x2,x3,⋯,x7 是实数,使得x1+4x2+9x3+16x4+25x5+36x6+49x7=1(1) 4x1+9x2+16x3+25x4+36x5+49x6+64x7=12(2)
9x1+16x2+25x3+36x4+49x5+64x6+81x7=123(3)
求 16x1+25x2+36x3+49x4+64x5+81x6+100x7 之值(第七届美国 AIME 试题) 此题初看起来,条件杂乱无序,很难找到突破口,若将各式中的常系数
排列起来
(1)1,4,9,16,25,36,49
(2)4,9,16,25,36,49,64
(3)9,16,25,36,49,64,81
(4)16,25,36,49,64,81,100
则发现纵、横各组常数之间有阶差等差数列的关系,于是得:
(1)+3×(3)-3×(2)=(4)
∴16x1+25x2+36x3+49x4+64x5+81x6+100x7=334
例 2:设α-2m+β=0 (1)
m3-α2β+2mn-αβ2=0
(2)其中 m,n∈R,α,β∈ ,m≠0,
求证 m2<2n。
分析:首先考察结构特征,发现已知两式中有α+β及αβ,并且可以用m,n 表示出α+β及αβ。于是引发直觉想象:可以构造一个以α、β为二根,以 m,n 为系数的一元二次方程。直觉判断:可以运用△<0 证明不等式m2<2n 成立。
证明:由(1)得α+β=2m,
由(2)得αβ(α+β)=2m(m2+n),从而αβ=m2+n,于是,α,β 是方程
x2-2mx+m2+n=0 的两个虚根。
∵△=42-(m2+4n)2<0,
∴m2<2n。
第二,引导学生寻找和发现事物的内在联系。数学直觉思维的另一个重要特征,是思维方向的综合性。在数学教学中,引导学生从复杂的问题中寻找隐蔽的内在联系,进而把各种信息做综合考察,并做出直觉想象和判断, 这是激发直觉思维的重要途径。
分析:此题常用的思路是分多种情况讨论脱去绝对值,然后就每种情况解方程组,这样作是事倍功半的。
由(2)发现暗示条件 y-1≥0 从而原方程组变形为

解出│x+1│=4 后可得 x1=3,x2=-5,从而求得原方程组的解为 x1=3, y1=2;x2=-5,y2=2。
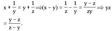
1 1 1
例4:设x、y、z为互不相等的实数,且x y z + 求证:x2y2 z2 = 1。
- y = + z = x
分析:如果不注意“x、y、z
为互不相等的实数”这句话,就等于放过了解题的关键,其实这句话暗示解题过程中可以出现(x-y)、(y-z)、(z-x)
等因式,由此联想,可找到解题方法:
z- x x- y
同理,zx = y- z ;xy = z- x .以上三式相乘即得结论。
第三,教学中要安排一定的直觉阶段,给学生留下直觉思维的空间。学生的思维能力是在实践和训练中发展的,在教学中适当推迟做出结论的时机,给学生一定的直觉思维的空间,有利于在整体观察和局部考察的结合中发现事物的内在规律,做出直觉想象和判断,这是发展学生直觉思维能力的必要措施。
例 5:设 AE 平分△ABC 的∠A,P 是经过点 A 且垂直于 AE 的直线 MN 上的任意一点(A 点不在内),求证:PB+PC>AB+AC。
分析:证这道题,首先应考虑如何使△ABC 的 AB、AC 与△PBC 的 PB、PC 发生联系。联系的桥梁是作辅助线。如何来作辅助线?这在很大程度上要取决于直觉思维的作用。当然在作辅助线的过程中,学生可能会进行各种各样的猜测,这种猜测教师要提倡,要鼓励,在一定程度上它有助于培养学生的直觉思维。最后,经过各种尝试,作 C 点关于直线 MN 的对称点 C′,连接 AC
′、PC′问题就解决了。
布鲁纳在其所著《教育过程》中十分强调直觉思维的价值。他主张“从最早年级起便开始发展学生的直觉天赋”。他指出“直觉好的人可能生来有点特殊,但他的效果有赖于科学的巩固知识。熟悉科学知识,能使直觉有所作为”。爱因斯坦也是非常重视直觉思维的。他认为,科学研究“真正可贵的因素是直觉思维。”因此,教学中经常注意这方面的培养,对提高学生的解题能力,培养学生的创新精神是十分有益的。
下面是一组培养直觉思维的练习题,供教与学时选用。1.分解因式:a2+(a+1)2+(a2+a)2.
2.解方程:x4+(x-4)4=626。
3.圆内接四边形的边长依次为 25、39、52、60,这个圆的直径是(A)
63;(B)65;(C)66;(D)69。
4.若(z-x)2-4(x-y)(y-z)=0,则 2y=x+z.
5.求适合方程组的 x、y、v、u。
